海南海大源欢迎您!
66185800  66298600
海南MBA MPA MTA考前培训
知识创造价值  诚信赢得尊重
海大源欢迎您!
海大源欢迎您!
知识创造价值 诚信赢得尊重
  
    
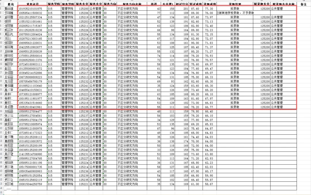
2025年海南医科大学MPA(公共管理)硕士录取名单(含调剂录取名单)
来源:海南医科大学研究生招生信息 | 作者:1 | 发布时间: 2026-02-24 | 369 次浏览 | 🔊 点击朗读正文 ❚❚ | 分享到:
2025年海南医科大学MPA一志愿录取名单


2025年海南医科大学MPA调剂拟录取名单

方 加

便 我

沟 微

通 信